Come riportato dal comune di Napoli: “La città di Napoli offre a cittadini e turisti diverse opportunità e modalità di fruizione ai fini balneari ed elioterapici della propria costa: dalle scogliere e spiaggette della riviera di Chiaia e Mergellina, alle piattaforme lignee degli storici lidi di Posillipo, ai suoi impervi banchi tufacei, alle calette con moli e approdi, fino alla grande spiaggia di Coroglio-Bagnoli.

La Balneazione in città può essere praticata in varie forme e modalità su tutto il litorale centro-occidentale, che spaziano dalla assoluta gratuità delle spiagge libere attrezzate con servizi comunali, alle spiagge con accesso e servizi a pagamento. Il litorale di Napoli, che è la parte della città a più stretto contatto con il mare, va dal confine est di Portici (loc. Pietrarsa), al confine ovest di Pozzuoli (loc. La Pietra). Come tutte le zone costiere, per di più di pregio, come nel caso di Napoli, l’intero territorio della città è sottoposto a numerosi vincoli di tutela delle caratteristiche architettoniche e ambientali dei luoghi e dei manufatti“.
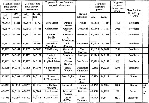
Secondo l’Arpac, è possibile immergersi nelle acque di:
Nisida – da Porto Paone a Punta Annone – (classificazione Eccellente)
Trentaremi, Marechiaro, Punta Nera, Capo Posillipo, Posillipo e Donn’Anna -tra Cala Badessa ed il Circolo Nautico – (classificazione Eccellente)
Lungomare Caracciolo e Via Partenope – tra via Galiani e Castel dell’Ovo – (classificazione Eccellente)
Piazza Nazario Sauro – tra la Fontana dell’Immacolata ed il Molosiglio – (classificazione Buona).
Questi, invece, i tratti e i luoghi in cui è vietata la balneazione, come da ordinanza sindacale comunale:
San Giovanni a Teduccio e Pietrarsa – tra gli ex Cantieri Partenope ed il Museo di Pietrarsa
Litorale di Bagnoli, Porto-Bagnoli colmata, Zona Militare-Nisida, Area marina protetta-Gaiola, Porto-Mergellina, Porto-Piazza Nazario Sauro, Porto, Bagnoli Coroglio nord e sud colmata.

